| 일 | 월 | 화 | 수 | 목 | 금 | 토 |
|---|---|---|---|---|---|---|
| 1 | 2 | 3 | 4 | 5 | 6 | 7 |
| 8 | 9 | 10 | 11 | 12 | 13 | 14 |
| 15 | 16 | 17 | 18 | 19 | 20 | 21 |
| 22 | 23 | 24 | 25 | 26 | 27 | 28 |
| 29 | 30 | 31 |
- dfs
- 알고리즘
- 파이썬
- 스프링
- docker
- 세그먼트 트리
- dataframe
- Redis
- JPA
- 데이터 flow
- 이펙티브 자바
- springboot
- series
- BFS
- UML
- equals
- java
- 다익스트라
- ddd
- 포트앤어댑터 아키텍처
- 비트마스크
- 백준
- pandas
- 자바
- 문자열
- spring security
- 헥사고날 아키텍처
- 위상정렬
- DP
- disjoint set
- Today
- Total
코딩못하는사람
Perceptron 신경망 본문
Supervised Learning (지도학습)
- Linear Regression (예측)
- Binary Classification (이진 분류)
- Multi-label Classification (다중 분류)
Linear Regression (선형 회귀분석)
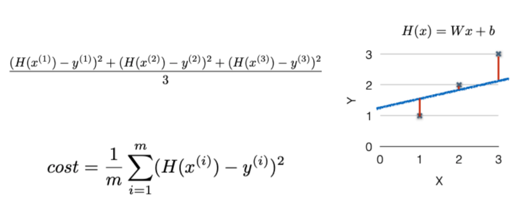
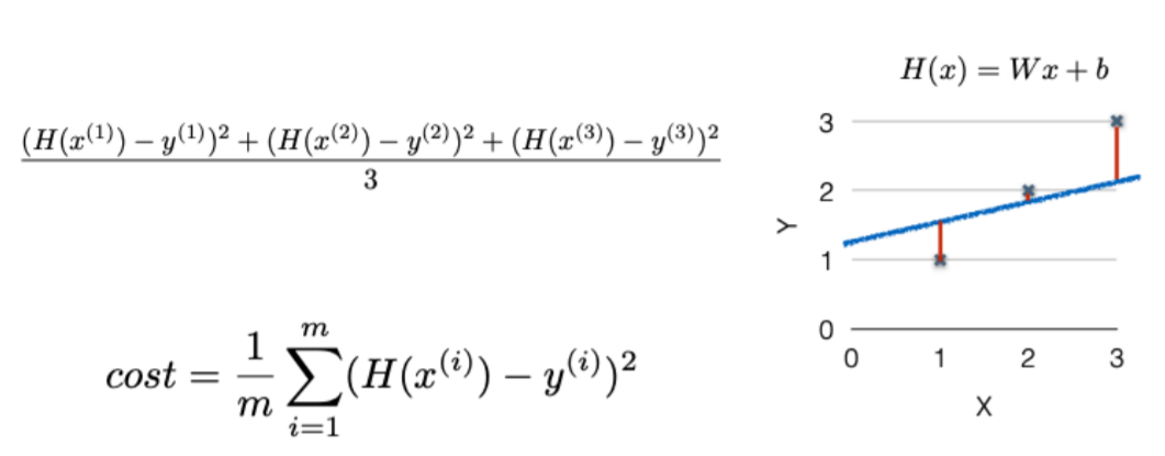
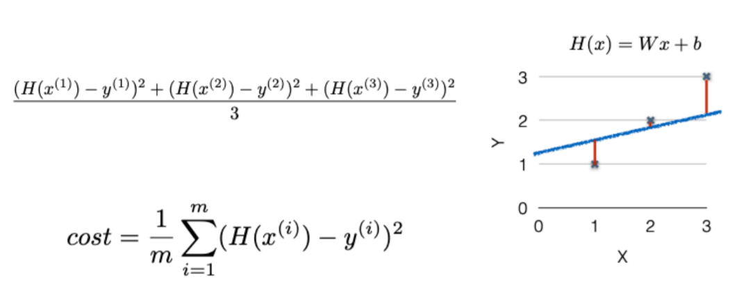
Cost function (Loss Function)
예측을 하는 값과 실제 결과 값의 차이를 나타내는 함수이다.
예측을 하는 데이터를 바꾸어가면서 실제 결과 값과 차이를 그래프로 나타낼 수 있다. 제일 적절한 예측을 하는 가설은 바로 cost function이 최소가 되는 가설일 것이다

경사 하강법

sklearn LinearRegression 사용법
from sklearn.linear_model import LinearRegression을 통하여 싸이킷런을 불러온다.
이제 LinearRegression 모델을 생성하고, 그 안에 X, y 데이터를 fit 시킨다.
line_fitter = LinearRegression()
line_fitter.fit(X, y)
fit() 메서드는 선형 회귀 모델에 필요한 두 가지 변수를 전달하는 거다.
fit를 통해서 절편,기울기, 값을 넣었을때 예측되는 선을 만들어주는 predict까지 사용할 수 있다.
기울기=line_fitter.coef_
절편=line_fitter.intercept_
예측되는 y값 :y_predicted = line_fitter.predict(X)
인공 신경망
뇌에 있는 생물학적 뉴런의 네트워크에 영감을 받은 머신 러닝 모델
뉴런들을 하나씩 따왔다고 생각하면 됨
퍼셉트론
- 1957년에 프랑크 로젠블라트가 고안한 신경망의 기원이 되는 알고리즘
- 신경망(딥러닝)의 기원이 되는 알고리즘
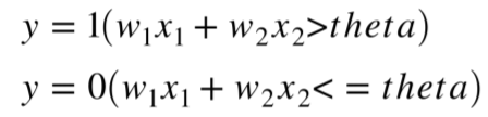
- 퍼셉트론(인공뉴런): 다수의 신호를 입력으로 받아 하나의 신호를 출력
- 신호: 흐른다(1), 흐르지 않는다(0) 두 가지 값을 가짐.
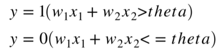
- 뉴런이 활성화: 뉴런에서 보내온 신호의 총합이 정해진 한계를 넘어설 때만 1을 출력


임계값: 정해진 한계. 세타 기호로 표현
퍼셉트론 모형
y=W*x+b가 기반이되고
각 x1,x2~xn등의 입력에 대한 가중치가 있으면
가중치의 합을 구해서 계단함수를 거쳐 출력된다
계단함수는 임계치 느낌이다.
이런퍼셉트론이 엄청많이 이어져있을것이다.
우리 뇌처럼
실습
첨부된 키와 몸무게 데이터를 이용하여 1차 회귀 분석하여, 데이터를 가장 잘 표현하는 그래 프를 그리고 y 절편과 기울기 값을 구하여라.
배운점
- plt.plot(x,y,'o') 를 사용하여 원하는 그림을 그릴 수 있다. 마지막 인자는 그려질 모양이다.
- fit을 할때는 두개의 데이터 크기가 같아야한다.
출처: https://copycode.tistory.com/162 [ITstory]
'머신러닝,마이닝' 카테고리의 다른 글
| pandas 모듈 (2) (0) | 2020.10.20 |
|---|---|
| pandas 모듈 Series,DataFrame (0) | 2020.10.19 |
| numpy모듈(2) 실습 (0) | 2020.09.28 |
| Numpy모듈 (1) | 2020.09.17 |